令和8年2月1日
[流れ星]
第463回数学的な連続応募解答
<解答募集期間:1月4日〜2月1日>
[2026の雑題]
問題1
(1)x8−x+1 を因数分解せよ。
(2)20268−2025は素数か合成数か判定せよ。
ヒント −1の3乗根
問題2 x2+2x+4=0の解をα,βとするとき,
(1)αn+βnをnで表せ。ただし,nは自然数
(2)|α2026+β2026|を31で割った余りを求めよ。
ヒント 8の3乗根
問題3(1)2026を自然数の3乗和で表し,その個数を6個以内でできるだけ見つけてください。
(2)(1)で見つけたなかで、20262026をできるだけ少ない個数の自然数の3乗和でひとつ表せ。
追加問題(出題者は「ジョーカー」) 新作シリーズ
四分円内の正方形と正三角形の1辺について『3』
問題1 シリーズ5問目
正方形と正三角形の1辺が異なる(a>b),

問題2 シリーズ6問目
正方形と正三角形の1辺が異なる(a>b),

NO1「ジョーカー」 1/04 17時17分
受信
更新 2/1
寄せられた解答です
NO2「よふかしのつらいおじさん」1/05 15時53分受信 更新 2/1
寄せられた解答です
NO3「スモークマン」
1/11 15時01分 受信 更新 2/1
新年明けましておめでとうございます。
今年もよろしくお願いいたします。
今年初挑戦!!
問題1
(1) x8−x+1を因数分解せよ。
x^3=-1
(x+1)(x^2-x+1)=0 の解は-ω
(-ω)^3=^1
(-ω)^8-(-ω)+1=ω^2+ω+1=0
So…
x^8-x+1=(x^2-x+1)(x^6+x^5-x^3-x^2+1)
(2)20268−2025は素数か合成数か判定せよ。
2026=x
x^8-x+1となるから、(1)より合成数
∵2026^2-2026+1=4102651≠1
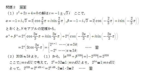
問題2 x^2+2x+4=0の解をα,βとするとき,
(1) α^n+β^nをnで表せ。
(x-2)(x^2+2x+4)=x^3-8=0
So…
α=2ω,β=2ω^2
・n=3k のとき
2^n+2^n=2^(n+1)
・n=3k+1 のとき
2^(n-1)*2ω+2^(n-1)*2ω^2=-2^n
・n=3k+2 のとき
2^(n-2)*4ω^2+2^(n-2)*4ω=-2^n
(2)|α^2026+β^2026|を31で割った余りを求めよ。
ヒント 8の3乗根
2026≡1. (mod 3)
So…|α^2026+β^2026|=2^2026
2^5=32≡1 (mod 31)
So…
2^2026≡2 (mod 31)

<水に流れ:bの値が間違っています>

問題3
(1)2026を自然数の3乗和で表し,その個数を6個以内でできるだけ見つけてください。(AIに教えてもらった...^^;v)
11^3+7^3+7^3+2^3+1^3
12^3+6^3+3^3+3^3+3^3+1^3
11^3+7^3+6^3+4^3+4^3+2^3
10^3+9^3+6^3+3^3+3^3+3^3
(2)(1)で見つけたなかで、20262026をできるだけ少ない個数の自然数の3乗和でひとつ表せ。
補足(1)は数学ソフトで見つけても可
(1) から、5項の和が一番少ない。
So…
2026^2026
=2026^2025*2026
=(2026^675)^3*(11^3+7^3+2^3+1^3)
=(11*2026^675)^3+(7*2026^675)^3+(7*2026^675)^3+(2*2026^675)^3+(2026^675)^3

NO4「kasama」 1/20 00時59分
受信 更新 2/1
寄せられた解答です
NO5「三角定規」
1/30 13時31分 受信 更新 2/1
寄せられた解答です
水の流れ
問題1の(1)答 更新 2/1
高次方程式の因数分解のとき,多くはx2+x+1,またはx2―x+1を因数に持つ場合が多いと経験している。
そこで,±1の3乗根の虚数解を±ω,±ω2とくと, ω2+ω+1=0
または, ω2―ω+1=0である。
ここで,x=ωをx8−x+1代入すると,ω8―ω+1=ω2―ω+1となり0ではない。x8−x+1=0は x=ωを解に持たない。
次に,x=―ωを代入すると, ω8+ω+1=ω2+ω+1=0となる。
したがって,x=―ωを解にもつ。即ち,与式はx2―x+1を因数に持つ。
よって, x8−x+1をx2―x+1で割ると,商はxの6次式
x8−x+1=(x2―x+1)(x6+x5−x3−x2+1) ・・・答
注:x6+x5−x3−x2+1が規約多項式であることを示さねばならないが。
問題1の(2)答
x=2026とくと,(1)から
x8−x+1=20268−2025=(20262―2025)(大きな数)
積の形にできたから, 20268−2025は合成数である。・・・答
参考に, 20268−2025=4,102,651=7・19・109・283と素因数分解できる。


補追 問題3(1)で6個の3乗和の場合は時間がなくて発見できていませんでした。