令和8年1月4日
[流れ星]
第462回数学的な連続応募解答
<解答募集期間:12月7日〜1月4日>
[最短距離]
令和8年丙午(ひのえうま)明けましておめでとうございます。
昨年までのご応募に深く感謝申し上げます。
今年も引き続きご愛顧賜りますようよろしくお願いいたします。
問題
文字はすべて正の数とする。
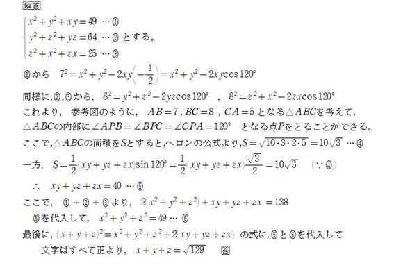
x2+y2+xy=49
y2+z2+yz=64
z2+x2+zx=25
x,y,zが上の3式を満たすとき,x+y+zの値を求めよ。
*解法に使う参考図 点Pをフェルマー点という。
ただし、△ABCは鋭角三角形のときの図

補題 鋭角三角形ABCにおいて,AB=c,BC=a,CA=b,面積をSとする。△ABCの内部に点Pをとり,AP+BP+CPを最小にする点Pとする。このときのAP+BP+CPの値をa,b,c,Sで表せ。
追加問題(出題者は「ジョーカー」) 新作シリーズ
四分円内の正方形と正三角形の1辺について『3』
問題1 シリーズ3問目
正方形と正三角形の1辺が異なる(a>b),

問題2 シリーズ4問目
正方形と正三角形の1辺が異なる(a>b),

NO1「ジョーカー」 12/07 20時14分 受信 更新 1/4
寄せられた解答です
NO2「スモークマン」 12/07 22時13分 受信 更新 1/4
いよいよ師走...(お坊さんが忙しないことからのようですね ^^)
1年が本当に早く過ぎちゃいます...
今年も楽しませていただきましたことに御礼申し上げます。
来年も楽しみにしております。
ちと早いですが、良い年をお迎えくださいませ Orz〜v
問題 最短距離
sin60°*(xy+yz+zx)=2√(10*3*2*5)=20√3
xy+yz+zx=40
2(x^2+y^2+z^2)=49+64+25-40=98
x^2+y^2+z^2=49
(x+y+z)^2=x^2+y^2+z^2+2(xy+yz+zx)=49+80=129
x+y+z=√129
補題
上の式を書き換えて...
a^2=x^2+y^2+xy
b^2=y^2+z^2+yz
c^2=z^2*x^2+zx
4S=(xy+yz+zx)√3
x^2+y^2+z^2=a^2+b^2+c^2-4S/√3
So…
AP+BP+CP=√(a^2+b^2+c^2-4S/√3+2S/√3)
=√(a^2+b^2+c^2-2S/√3)


NO3「よふかしのつらいおじさん」 12/09 22時26分 受信 更新 1/4
寄せられた解答です
今回の問題は、前回の漸化式の問題の2つめ(cosの半角の公式のもの)の問題を解く感覚でやりました。
フェルマー点という単語は知りませんでしたが、
三角形の各頂点までの距離の和が最小になる点は、
∠APB=∠BPC=∠CPA=120度の点Pという知識はありました。
補題を使わないと計算が大変そうなので、助かりました。
NO4「三角定規」
12/13
19時39分 受信 更新 1/4
寄せられた解答です
フェルマー点,知るほどに興味が募る不思議な点ですね。
ところで,フェルマー点 - Wikipedia 内の記述
・フェルマー点から3辺に下ろした垂線の足は正三角形をなす。
は誤りですよね?
<水の流れ:明らかに間違いです。>
『数学的問題』の解答作成に没頭することで,大変充実した時間を過ごしております。
新年,次回以降も宜しくお願い致します。
NO5「amnesiac」 12/18 15時08分 受信 更新 1/4
初めて解きましたので、応募いたします。
寄せられた解答です
<水に流れ:追加問題1で,正三角形の一辺の長さはこちらの答えと違っています。
NO6「kasama」
12/27
16時13分 受信 更新 1/4
寄せられた解答です
NO7「二度漬け白菜」 12/30 09時11分 受信 更新 1/4
第462回数学的な連続応募問題の解答:
[最短距離]
x+y+z=√(129) (答)
x^2+y^2+x*y=49 ---@
y^2+z^2+y*z=64 ---A
z^2+x^2+z*x=25 ---B
@-Aより,x^2-z^2+y*(x-z)=-15.
よって,(x-z)*(x+y+z)=-15.
よって,1/(x+y+z)=(z-x)/15.
同様にして,A-Bより,1/(x+y+z)=(y-x)/39.
よって,(z-x)/15=(y-x)/39 ---C
ここで,y=s*x, z=t*x
(s>0,t>0) とおく.
これをCに代入して,(t-1)*x/15=(s-1)*x/39.
よって, t=(5*s+8)/13. よって,z=t*x=(5*s+8)*x/13.
y=s*xを@に代入して,
x^2+(s*x)^2+x*(s*x)=49.
よって,1/x^2 =(1+s^2+s)/49
---D
z=(5*s+8)*x/13をBに代入して,
((5*s+8)*x/13)^2+x^2+((5*s+8)/13)*x^2=25.
よって,1/x^2
=(((5*s+8)/13)^2+1+(5*s+8)/13)/25 ---E
D,Eより,
(1+s^2+s)/49=(((5*s+8)/13)^2+1+(5*s+8)/13)/25.
この2次方程式を解いて,s=64/25.
Dより,x^2=49/(1+s^2+s)=625/129.
よって,x=25/√(129).
y=s*x=64/√(129).
z=(5*s+8)*x/13=40/√(129).
よって,
x+y+z=(1/√(129))*(25+64+40)=√(129).
[解法に使う参考図] における問い:
AP+BP+CPの最小値をa,b,c,Sで表すと,
sqrt((a^2+b^2+c^2)/2+2*sqrt(3)*S) (答)
ΔABCの内部に,∠AFB=∠BFC=120°となるような点Fをとる.
(このような点Fがただ一つ存在することは,∠AVB=120°を満たす
点Vの軌跡である円弧と,∠BWC=120°を満たす点Wの軌跡である
円弧の交点がFであることから判る.)
さらに,△BDCが正三角形になるように,辺BCに関して点Aとは
反対側に,点Dをとる.
このとき,次の等式および不等式が成り立つ.
△ABCの内部の任意の点Pに対して,
AP+BP+CP≧AD=AF+BF+CF.
(証明)
∠BFC+∠BDC=120°+60°=180°であるから,四角形BFCDは円に内接する.
よって,∠BFD=∠BCD=60°.
∠AFD=∠AFB+∠BFD=120°+60°=180°であるから,
3点A,F,Dは同一直線上にある.
よって,AF+DF=AD ---@
四角形BFCDにトレミーの定理を適用して,
DF*a=BF*a+CF*a. よって,DF=BF+CF ---A
@,Aより,AD=AF+BF+CF.
四角形PBDCにトレミーの不等式を適用して,
BP*a+CP*a≧DP*a. よって,BP+CP≧DP.
よって,AP+BP+CP=AP+(BP+CP)≧AP+DP≧AD.
つまり,AP+BP+CP≧AD. (証明終)
ADを,a,b,c,Sで表すと次のようになる.
S=(1/2)*c*a*sin(∠ABC)より,sin(∠ABC)=2*S/(c*a).
ΔABDに余弦定理を適用して,
AD^2
=c^2+a^2-2*c*a*cos(∠ABD)
=c^2+a^2-2*c*a*cos(∠ABC+60°)
=c^2+a^2-2*c*a*(1/2)*(cos(∠ABC)-(√3)*sin(∠ABC))
=c^2+a^2-c*a*((c^2+a^2-b^2)/(2*c*a)-(√3)*2*S/(c*a))
=(1/2)*(a^2+b^2+c^2)+2*(√3)*S.
よって,
AD=sqrt((a^2+b^2+c^2)/2+2*sqrt(3)*S).
追加問題:
[問題1]
正方形の一辺の長さは,sqrt(1/2),
正三角形の一辺の長さは,sqrt((5-sqrt(2)-sqrt(3*(1+2*sqrt(2))))/2).
(答)
正三角形の一辺の長さを s とすると,
(sqrt(1-(s/2)^2)-(s/2)*sqrt(3))/sqrt(1/2)=1/sqrt(1-(s/2)^2).
これを解いて,
s=sqrt((5-sqrt(2)-sqrt(3*(1+2*sqrt(2))))/2).
[問題2]
正方形の一辺の長さは,sqrt(2/5),
正三角形の一辺の長さは,sqrt(2/15)
(答)
正方形の一辺の長さを t とすると,
(t/sqrt(2))^2+(t*sqrt(2))^2=1.
よって,t=sqrt(2/5).
正三角形の一辺の長さは,
t/sqrt(3)=sqrt(2/15).
(以上)
<水の流れ> 更新 12/7


参考に :2023年9月24日(日)昨日、本巣市市民文化ホールにて、秋山仁先生の「頭を使って楽しむながら難問解決」という講演を聞いてきました。その中で、石鹸膜に聞いてみようと言って実験をされました。
「何点を結ぶ最短経路の問題」です。 シュタイナー問題と言われています。テキストを貼っておきます。大変興味深い経路を石鹸膜が教えてくれます。
そのときの写真です。

正三角形の場合 正四角形の場合 正五角形の場合 正六角形の場合